Студопедия Главная Случайная страница Обратная связь

Разделы: Автомобили Астрономия Биология География Дом и сад Другие языки Другое Информатика История Культура Литература Логика Математика Медицина Металлургия Механика Образование Охрана труда Педагогика Политика Право Психология Религия Риторика Социология Спорт Строительство Технология Туризм Физика Философия Финансы Химия Черчение Экология Экономика Электроника

И.Р.)Dividend Discount Model





Dividend discount model (DDM) - a procedure for valuing the price of a stock by using predicted dividends and discounting them back to present value. The idea is that if the value obtained from the DDM is higher than what the shares are currently trading at, then the stock is undervalued.

According to the DDM, dividends are the cash flows that are returned to the shareholder. The model requires loads of assumptions about companies' dividend payments and growth patterns, as well as future interest rates.

The Dividend Discount Model is a way of valuing a company based on the theory that a stock is worth the discounted sum of all of its future dividend payments. In other words, it is used to evaluate stocks based on the net present value of the future dividends.

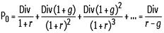
To value a company using the DDM, you calculate the value of dividend payments that you think a stock will throw-off in the years ahead. Here is what the model says:

Where: P= the price at time 0, r= discount rate

For simplicity's sake, consider a company with a $1 annual dividend. If you figure the company will pay that dividend indefinitely, you must ask yourself what you are willing to pay for that company. Assume expected return, or, more appropriately in academic parlance, the 'required rate of return' is 5%. According to the dividend discount model, the company should be worth $20.00 ($1.00 /.05).

How do we get to the formula above? It's actually just an application of the formula for a perpetuity:

 

The obvious shortcoming of the model above is that you'd expect most companies to grow over time. If you think this is the case, then the denominator equals the expected return less the dividend growth rate. This is known as the constant growth DDM or the Gordon Model after its creator, Myron Gordon. Let's say you think the company's dividend will grow by 3% annually. The company's value should then be $1.00 / (.05 -.03) = $50.00. Here is the formula for valuing a company with a constantly growing dividend, as well as the proof of the formula:

This procedure has many variations, and it doesn't work for companies that don't pay out dividends. The classic dividend discount model works best when valuing a mature company that pays a hefty portion of its earnings as dividends, such as a utility company.

In truth, the dividend discount model requires an enormous amount of speculation in trying to forecast future dividends. Even when you apply it to steady, reliable, dividend-paying companies, you still need to make plenty of assumptions about their future.

The first big assumption that the DDM makes is that dividends are steady, or grow at a constant rate indefinitely. Stock analysts build complex forecast models with many phases of differing growth to better reflect real prospects. But even for steady, reliable, utility-type stocks, it can be tricky to forecast exactly what the dividend payment will be next year, never mind a dozen years from now. Another sticking point with the DDM is that no one really knows for certain the appropriate expected rate of return to use. It's not always wise simply to use the long-term interest rate because the appropriateness of this can change.







Дата добавления: 2015-09-04; просмотров: 514. Нарушение авторских прав; Мы поможем в написании вашей работы!




Вычисление основной дактилоскопической формулы Вычислением основной дактоформулы обычно занимается следователь. Для этого все десять пальцев разбиваются на пять пар...


Расчетные и графические задания Равновесный объем - это объем, определяемый равенством спроса и предложения...


Кардиналистский и ординалистский подходы Кардиналистский (количественный подход) к анализу полезности основан на представлении о возможности измерения различных благ в условных единицах полезности...


Обзор компонентов Multisim Компоненты – это основа любой схемы, это все элементы, из которых она состоит. Multisim оперирует с двумя категориями...

ТЕОРИЯ ЗАЩИТНЫХ МЕХАНИЗМОВ ЛИЧНОСТИ В современной психологической литературе встречаются различные термины, касающиеся феноменов защиты...

Этические проблемы проведения экспериментов на человеке и животных В настоящее время четко определены новые подходы и требования к биомедицинским исследованиям...

Классификация потерь населения в очагах поражения в военное время Ядерное, химическое и бактериологическое (биологическое) оружие является оружием массового поражения...

СИНТАКСИЧЕСКАЯ РАБОТА В СИСТЕМЕ РАЗВИТИЯ РЕЧИ УЧАЩИХСЯ В языке различаются уровни — уровень слова (лексический), уровень словосочетания и предложения (синтаксический) и уровень Словосочетание в этом смысле может рассматриваться как переходное звено от лексического уровня к синтаксическому...

Плейотропное действие генов. Примеры. Плейотропное действие генов - это зависимость нескольких признаков от одного гена, то есть множественное действие одного гена...

Методика обучения письму и письменной речи на иностранном языке в средней школе. Различают письмо и письменную речь. Письмо – объект овладения графической и орфографической системами иностранного языка для фиксации языкового и речевого материала...

Studopedia.info - Студопедия - 2014-2026 год . (0.008 сек.) русская версия | украинская версия