Студопедия Главная Случайная страница Обратная связь

Разделы: Автомобили Астрономия Биология География Дом и сад Другие языки Другое Информатика История Культура Литература Логика Математика Медицина Металлургия Механика Образование Охрана труда Педагогика Политика Право Психология Религия Риторика Социология Спорт Строительство Технология Туризм Физика Философия Финансы Химия Черчение Экология Экономика Электроника

Теоретическое введение.





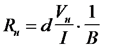
Физическая природа эффекта Холла. Эффект Холла состоит в появлении поперечного электрического поля в образце, помещенном в перпендикулярное магнитное поле, при протекании вдоль образца электрического тока. Опыт показывает, что возникающая разность потенциалов Vн, называемая холловской ЭДС, при не слишком сильных полях пропорциональна индукции поля B, силе тока I и обратно пропорциональна толщине пластины d:

(1)

Коэффициент пропорциональности R н является константой материала и называется постоянной Холла. Она имеет размерность L 3/ Q (L - длина, Q - электрический заряд) и выражается в кубических метрах на кулон (м3/Кл). (2)

Постоянную Холла R н принято считать отрицательной при электронном типе проводимости и положительной при дырочном.

При рассмотрении эффекта Холла можно ввести новый параметр электронного переноса m н - подвижность носителей заряда в присутствии магнитного поля, который связан с другими основными параметрами соотношениями

(3)

где m н и m d - холловская и дрейфовая подвижности; s - удельная электропроводность материала.

Исследование эффекта Холла позволяет определить концентрацию и знак носителей тока в веществе. Дополнительное измерение ; дает возможность найти подвижность носителей заряда, а из анализа температурной зависимости R н можно получить сведения о ширине запрещенной зоны и структуре примесных уровней.

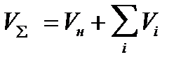
Погрешности и способы их устранения. Основными мешающими явлениями при холловских измерениях являются: ЭДС побочных эффектов, асимметрия зондов Холла, поверхностная рекомбинация и шумы. Суммарное напряжение на поперечных зондах Холла с учетом мешающих явлений можно выразить формулой:

. (4)

Шумы и наводки в измерительных цепях. Для уменьшения погрешности следует принимать такие меры, как качественное изготовление образца и контактов к нему, аккуратный монтаж измерительных цепей, выбор малошумящих источников питания и измерительных приборов, качественная экранировка и правильный выбор точек заземления.

Асимметрия зондов. Для уменьшения влияния асимметрии зондов на результат измерений ЭДС Холла обычно используют различные схемы компенсации. Две наиболее распространенные схемы приведены на рисунке 4. В часто применяемой схеме балансировки с тремя зондами Холла (рисунок 4,а) осуществляется электрическая установка виртуального зонда Холла 4' 4'' на одной эквипотенциали с противоположным зондом Холла 3 с помощью резистора RВ (1, 2- токовые электроды). Недостатком этой схемы является то, что она увеличивает сопротивление источника сигнала, так как должно выполняться условие R В >> R 4'4'', где R4'4'' - сопротивление образца между зажимами 4' и 4''.

Для высокоомных образцов более предпочтительной является схема компенсации напряжения с помощью внешнего регулируемого источника (рисунок 4,б), который может встраиваться в измеритель напряжений или включаться в измерительную схему.

ЭДС побочных эффектов. ЭДС неэквипотенциальности, или асимметрии зондов Холла V А, обусловленная падением напряжения при протекании первичного тока через участок образца сопротивлением R h, заключенного между сдвинутыми на расстояние h зажимами Холла.

Термо-ЭДС V т, возникающая на контактах полупроводник-металл зонда Холла при различии температур в поперечном направлении между зондами Холла;

ЭДС магниторезистивного эффекта V м, обусловленная модуляцией сопротивления R h магниторезистивным эффектом.

 

, (5)

 








Дата добавления: 2015-08-12; просмотров: 672. Нарушение авторских прав; Мы поможем в написании вашей работы!




Функция спроса населения на данный товар Функция спроса населения на данный товар: Qd=7-Р. Функция предложения: Qs= -5+2Р,где...


Аальтернативная стоимость. Кривая производственных возможностей В экономике Буридании есть 100 ед. труда с производительностью 4 м ткани или 2 кг мяса...


Вычисление основной дактилоскопической формулы Вычислением основной дактоформулы обычно занимается следователь. Для этого все десять пальцев разбиваются на пять пар...


Расчетные и графические задания Равновесный объем - это объем, определяемый равенством спроса и предложения...

Педагогическая структура процесса социализации Характеризуя социализацию как педагогический процессе, следует рассмотреть ее основные компоненты: цель, содержание, средства, функции субъекта и объекта...

Типовые ситуационные задачи. Задача 1. Больной К., 38 лет, шахтер по профессии, во время планового медицинского осмотра предъявил жалобы на появление одышки при значительной физической   Задача 1. Больной К., 38 лет, шахтер по профессии, во время планового медицинского осмотра предъявил жалобы на появление одышки при значительной физической нагрузке. Из медицинской книжки установлено, что он страдает врожденным пороком сердца....

Типовые ситуационные задачи. Задача 1.У больного А., 20 лет, с детства отмечается повышенное АД, уровень которого в настоящее время составляет 180-200/110-120 мм рт Задача 1.У больного А., 20 лет, с детства отмечается повышенное АД, уровень которого в настоящее время составляет 180-200/110-120 мм рт. ст. Влияние психоэмоциональных факторов отсутствует. Колебаний АД практически нет. Головной боли нет. Нормализовать...

Понятие метода в психологии. Классификация методов психологии и их характеристика Метод – это путь, способ познания, посредством которого познается предмет науки (С...

ЛЕКАРСТВЕННЫЕ ФОРМЫ ДЛЯ ИНЪЕКЦИЙ К лекарственным формам для инъекций относятся водные, спиртовые и масляные растворы, суспензии, эмульсии, ново­галеновые препараты, жидкие органопрепараты и жидкие экс­тракты, а также порошки и таблетки для имплантации...

Тема 5. Организационная структура управления гостиницей 1. Виды организационно – управленческих структур. 2. Организационно – управленческая структура современного ТГК...

Studopedia.info - Студопедия - 2014-2026 год . (0.011 сек.) русская версия | украинская версия