Студопедия Главная Случайная страница Обратная связь

Разделы: Автомобили Астрономия Биология География Дом и сад Другие языки Другое Информатика История Культура Литература Логика Математика Медицина Металлургия Механика Образование Охрана труда Педагогика Политика Право Психология Религия Риторика Социология Спорт Строительство Технология Туризм Физика Философия Финансы Химия Черчение Экология Экономика Электроника

Сравнение бесконечно малых





Определение. Функция называется бесконечно малой при или , если или .

Например, бесконечно малая при ; - бесконечно малая при .

Функция называется бесконечно большой величиной при или , если для нее выполняются условия или .

Например, при ; при .

Пусть и - бесконечно малые при .

 

1. Если , то является бесконечно малой высшего порядка по сравнению с , .

 

2. Если , где m – число, отличное от нуля, то и - бесконечно малые одного порядка. В частности, если , то и - эквивалентные бесконечно малые, ~ .

 

3. Бесконечно малая называется бесконечно малой k- го порядка относительно бесконечно малой ,если и - бесконечно малые одного порядка, т. е. если 0.

 


 

Таблица эквивалентных бесконечно малых:

1) ~ , →0;

2) ~ , →0;

3) ~ , →0;

4) ~ , →0;

5) ~ , → 0;

6) ~ , →0;

7) ~ α , →0;

8) ~ , →0;

9) ~ , →0.

 

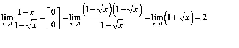
Пример 1. Найти

= =

 

Пример 2. Найти

Так как х → 0, то 3 → 0, (- 2 ) → 0, поэтому

 

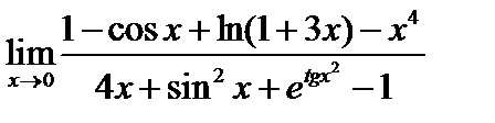
Пример 3. Найти

Воспользуемся теоремами:

1) Алгебраическая сумма конечного числа бесконечно малых величин эквивалентна сумме части слагаемых, имеющих низший порядок малости.

2) Предел частного двух бесконечно малых величин равен пределу частного двух соответственно эквивалентных бесконечно малых величин.

1 - cos ~ ; ln(l + З ) ~З ; sin2 ~ 2; -1 ~ tg 2 ~ 2

.

 

Пример 4. Сравнить бесконечно малые величины =sin2 и = 2 sin при →0,

Таким образом, α=0(β), α является бесконечно малой высшего порядка по сравнению с β.

 

Пример 5. Сравнить и при

.

Существует конкретное число k, когда

при k=2, , , следовательно, - бесконечно малая величина второго порядка по сравнению с .

 

Пример 6. Доказать, что при →1 бесконечно малые величины α() = (1- ) и β()=1- будут одного порядка малости.

α() и β() будут одного порядка малости, если тогда тогда

Следовательно, α() и β() одного порядка малости.

 

Пример 7. Сравнить бесконечно малые величины и при →0.

 

, т. к. при →0 ;

 

;

.

Таким образом, , следовательно, α() и β() – эквивалентны.

 

Пример 8. Сравнить бесконечно малую величину с бесконечно малой ()= при →0.

Тогда,

 

Таким образом, α=0(β), α является бесконечно малой высшего порядка по сравнению с β.

 


 

Задания для самостоятельной работы.

Вычислить пределы, пользуясь эквивалентными бесконечно малыми величинами:

1) 2)

3)

4)

5)

Сравнить бесконечно малые величины при →0:

6) sin +tg2 и 3 ; 7) tg2 +3 2 и + 2;

8) ln(l + 2) и arcsin (); 9) -1 и хlna;

 

10) Сравнить и при ;

11) При каких х функции будут бесконечно малыми?

a) ; б) ; в) ; г) ;

12) При каких х функции будут бесконечно большими?

a) ; б) ;

в) ; г) .








Дата добавления: 2015-09-07; просмотров: 640. Нарушение авторских прав; Мы поможем в написании вашей работы!




Практические расчеты на срез и смятие При изучении темы обратите внимание на основные расчетные предпосылки и условности расчета...


Функция спроса населения на данный товар Функция спроса населения на данный товар: Qd=7-Р. Функция предложения: Qs= -5+2Р,где...


Аальтернативная стоимость. Кривая производственных возможностей В экономике Буридании есть 100 ед. труда с производительностью 4 м ткани или 2 кг мяса...


Вычисление основной дактилоскопической формулы Вычислением основной дактоформулы обычно занимается следователь. Для этого все десять пальцев разбиваются на пять пар...

Основные разделы работы участкового врача-педиатра Ведущей фигурой в организации внебольничной помощи детям является участковый врач-педиатр детской городской поликлиники...

Ученые, внесшие большой вклад в развитие науки биологии Краткая история развития биологии. Чарльз Дарвин (1809 -1882)- основной труд « О происхождении видов путем естественного отбора или Сохранение благоприятствующих пород в борьбе за жизнь»...

Этапы трансляции и их характеристика Трансляция (от лат. translatio — перевод) — процесс синтеза белка из аминокислот на матрице информационной (матричной) РНК (иРНК...

Подкожное введение сывороток по методу Безредки. С целью предупреждения развития анафилактического шока и других аллергических реак­ций при введении иммунных сывороток используют метод Безредки для определения реакции больного на введение сыворотки...

Принципы и методы управления в таможенных органах Под принципами управления понимаются идеи, правила, основные положения и нормы поведения, которыми руководствуются общие, частные и организационно-технологические принципы...

ПРОФЕССИОНАЛЬНОЕ САМОВОСПИТАНИЕ И САМООБРАЗОВАНИЕ ПЕДАГОГА Воспитывать сегодня подрастающее поколение на со­временном уровне требований общества нельзя без по­стоянного обновления и обогащения своего профессио­нального педагогического потенциала...

Studopedia.info - Студопедия - 2014-2026 год . (0.009 сек.) русская версия | украинская версия