Студопедия Главная Случайная страница Обратная связь

Разделы: Автомобили Астрономия Биология География Дом и сад Другие языки Другое Информатика История Культура Литература Логика Математика Медицина Металлургия Механика Образование Охрана труда Педагогика Политика Право Психология Религия Риторика Социология Спорт Строительство Технология Туризм Физика Философия Финансы Химия Черчение Экология Экономика Электроника

ІІІІІІІ


АААААА

Айнымалы тоқ тізбегі энергияны жыйнақтайды да, оны қандай тізбекке береді:E) C және L.

Айнымалы тоқ тізбегіне қосылған катушка қандай максимал энергия жинай алады, егер одан өтетін максимал тоқ 10 А және L=10 мГн, =50 Гц:E) 0,5 Дж.

Айнымалы тоқ тізбегіне қосылған конденсатор қандай максимал энергия жинай алады, егер оның ұшындағы кернеу 100 В және С=100 мкФ, Гц:A) 0,5 Дж.

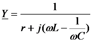
Айнымалы ЭҚК көзіне индуктивтілік пен сиымдылық элементтері параллель жалғанған. Қандай жағдайда қоректену қөзінен алынатын тоқ нөлге тең болады:C) .

Активті кедергісі бар тізбектегі тоқ көзінің энергиясы қандай энергияға айналады:C) Жылулық энергиясына.

Активті қуатты анықтау керек.A) 96.12 Bт

Активтік кедергісі r = 3 Ом, индуктивтік кедергісі = 4 Ом электр тізбегінің толық комплекс кедергісін алгебралық, көрсеткіш функциялар түрінде анықтаңыз:A) 3+j4;

ӘӘӘӘӘ

Әр жиіліктің электр толқындары жиілік электр сүзгіші құрылғысы көмегімен:C) Бір-бірінен ажыратылады

Әр қайсысының кедергісі R, n резистор параллель жалғанған. Электр тізбегінің балама кедергісінің формуласы: B) R/n

Әр қайсысы ЭҚК-сі 10 В, ішкі кедергісі 0,5 Ом үш бір типті электр энергиясы көздері тізбектей жалғанған. Осы батареяның қысқаша тұйықталу режимі кезіндегі кернеуін анықтаңыз: B) 20 B

ББББББ

Бір бағытта n бірдей ЭКҚ Е қорек көздері параллель қосылған және ішкі кедергілері бірдей және жүктеме R-ге қосылған. Жүктемеден өтетін тоқтың өрнегін анықтаңыз:B)

Бір бағытта n бірдей ЭҚК Е қорек көздері тізбектем n және ішкі кедергілері бірдей және жүктеме R-ге қосылған, жағдайда жүктемеден өтетін тоқтың өрнегін анықтаңыз: C) I=E/( +R/n)

Берілген екі Z1=5+j3.5, Z2=1.8-j4 комплекс сандарының қосындысын, айырымын, көбейтіндісін, бөліндісін анықтаңыз:C) 6.8-j0.5; 3.2+j7.5; 26.78 ;1.39

ГГГГГГ

Генератор фазаларының тізбектілігі А,В,С болсын. Егер оған двигателді қосып және фазалардың тізбектілігін А, С, В -ға өзгертсе не болады:E) Двигатель кері қарай айналады.

Генератордың симметриялы жүктемесі кезінде оның қабылдағышпен «жұлдызша» сұлбасымен қосқанда:E) Бейтарап сым салынбайды.

Генератордың шығысындағы кернеудің мәні 10 В. Оған тізбекті түрде мыналар қоылған R=2 Ом, С= Ф, L=10 мГн. Резонанс кезінде қандай тоқ тұтынылады:B) 5А.

ЕЕЕЕЕЕ

Егер 400 B, 133 B, 80 B болса, ЭҚК әсерлік мәні: C) 304.3 B

Егер = 40 A, = 4.43 A, = 1.6 A болса, тоқтың әсерлік мәні:E) 21,35 A
қатарымен анықталатын кернеудің әсерлік мәні:E) 217 B
Егер 298,5 B, 44.3 B, 15.1 B болса, кернеудің әсерлік мәні:D) 213.3 B

Егер барлық кедергілер бірдей және R=1 Ом болса, онда А және В нүктелерінің арасындағы кедергі неге тең: E) 1 Ом.

Егер де тоқ пен кернеу лездік мәндері теңдеулермен төмендегі түрде берілсе, активті P, реактивті Q және толық қуатты S табу керек: D) P = 433 Bт, Q = 250 Вар, S = 500 BA

Егер желідегі кернеу 220 В, шамның кедергісі 20 Ом болса, онда тізбектегі тоқ күші неге тең:B) 11 А.

Егер комплексті кедергінің аргументі болса, онда:C) Тізбектегі кедергі индуктивтік сипатта болады.

Егер конденсатордың пластиналарының арасына диэлектрик орнатсақ, онда конденсатордың сыйымдылығы:C) Өседі.

Егер қорек көзімен энергия қабылдағыштардың орынын ауыстырғанда тоғы өзгермейтін төртполюстік:D) Симметриялық

Егер қоректендіру көзі мен энергия тұтынушынының орындарын ауыстырғанда, тоқтар мәні өзгермейтін болса, онда ол... деп аталады:D) Симметриялы.

Егер өткізгіштік қозғалыссыз, ал магнит өрісі осы өткізгіштікке байланысты орын ауыстырып отырса, онда осы өткізгіштікте индукцияның ЭҚК байқаладыма:B) Ия.

Егер резонанс кезінде индуктивтіктің және сыйымдылықтың өтімділігін n-есе арттырсақ, онда:C) Тоқтар n-есе өседі.

Егер синусоидалы тоқ сыймдылық элемент арқылы өтсе,онда оның фазасы кернеу фазасы мен байланысты:A) .

Егер тізбектегі кернеу тұрақты болып, ал кедергісі артса, онда:A) Тоқ күші азаяды.

Егер электр өрісінен электр зарядының кез-келген траектория бойынша өтуі күшінің жұмысы нолге тең екендігі белгілі болса, ол өріс қалай аталады:B) Электростатикалық.

Екі резистор тізбектей жалғанған. Олардың жалпы өткізгіштігі:E) .

Екі резисторлар тізбектей жалғанған. Олардың жалпы өткізгіштігі неге тең:C) .

Екі түйін әдісі арқылы анықталған кернеуді табыңыз:C) .

ЖЖЖЖЖ

Жазық конденсатордың сыйымдылығы:B) .

Жалпы кіріс тоқты табыңыз. Егер B, Ом, =15 Ом: B) 8 А.

Жалпы кіріс тоқты табыңыз. Егер Ом, B, =20 Ом: A) 5 А.

Жалпы а және в түйіндерінің арасындағы кернеуді екі түйін әдісімен анықтау керек:A) =

Жиілік өскендес синусоидалы тоқ тізбегіне қосылған сыйымдылық элементтің кедергісі:B) Азаяды.

Жиілік электр сүзгіштің өткізбейтін жиілік жолағы:C) Өшу жолағы

Жиілік электр сүзгіштің өшкізбей өткізетін жиілік жолағы:B) Өткізу жолағы

Жүктеме мен қоректендіру көзі арасына жиіліктері бір диапазонда орналасқан тоқтарды өткізуге, ал жиілікитері екінші диапазонда орналасқан тоқтарды өткізбеуге арналған төртполюстікті... деп айтамыз:B) Электр сүзгі.

ИИИИИ

Идеал пассив сүзгі қандай элементтерден тұрады: E) Идеал индуктивтілік катушкалары мен конденсаторлардан.

Идеалды (мінсіз) пассивті жиілік электр сүзгіштері қандай элементтерден тұрады:E) Мінсіз индуктивті катушкамен конденсатордан
Қазақстанда қолданылатын өндірістік жиіліктің мәні:A) 50Гц

ИдеалЭҚК-нің көзі қандай қасиетке ие:A) Ішкі кедергісі 0-ге тең.

Индуктивті кедергі қай теңдеумен анықталады:B) .

Индуктивті элемент келесі қасиетпен сипатталады:C) Энергияны магнит өрісінің энергиясы түрінде жинақтайды.

Индуктивті элемент төмендегі қасиетке ие:Правильный ответ=E

Индуктивті элемент үшін бір период ішіндегі қуаттың орташа мәні :B) 0.

Индуктивті элементтегі лездік қуат - синусоидалық шама болып табылады оның жиілігі неге тең:B) Тоқ жиілігінен екі есе үлкен.

Индуктивті элементтің комплекстік өткізгіштігі:C) .

Индуктивті элементтің магнит өрісіндегі энергия:D)

Индуктивтілік катушкасынан өтетін тоқ . Катушканың индуктивтілігі 10 мГн. Катушканың ұшындағы максимал кернеуі неге тең:C) 10 В.

Индуктивтіліктік өлшем бірлігі:E) Гн.

КККККК

Катушканың индуктивтілігі:B)
Катушкадағы өзі индукцияланған ЭҚК тәуелді:D) Одан өтетін тоқтың жиілігіне

Катушканың ұштарындығы кернеу 10 В тең тізбектелген контурда резонанс байқалады. Егер катушканың индуктивтілігін 5 есе өсірген, ал конденсатордың сыиымдылығын 5 есе кеміткен болсақ, онда:D) Резонанс сақталады, катушкадағы кернеу 50 В.

Кез келген тармақтың тоғын анықтау үшін қолданылатын қолайлы әдіс:C) Баламалы (эквивалентті) генератор әдісі

Кернеу резонансы... мүмкін болады:A) Тізбекті тербелмелі контурда.

Кернеу резонансы кезінде:E) Сыйымдылықты және индуктивті элемментерде кернеу кернеу көзінен бірнеше есе көп болады,ал тізбектей тоқ күрт өседі.

Кернеу резонансы іске асқанда идеал контурдың () толық кедергісі:C) .

Кернеу резонансына берілген анықтаманың қайсысы дұрыс емес?E) Электроэнергетикалық қондырғыда – бұл құбылыстың болғаны жөн, себебі кернеуді арттыруға мүмкіндік береді.Радиотехникада керекті жиілікке тізбектерді сәйкестіруге қолданылады.

Кернеудің өлшем бірлігі:B) Bольт

Кернеу резонансы:C) Тізбектей жалғанған тербемелі контурда кірме реактивті кедергісі нөлге тең немесе кернеу мен тоқтың фазаларының айырымы нөлге тең

Кирхгоф ережесін пайдаланып кіріс тоқты анықтаңыз. Егер В Ом, =10 Ом: D) 8 А.

Кирхгоф ережесін пайдаланып кіріс тоқты анықтаңыз. Егер В, Ом, =5Ом: B) 10 A.

Кирхгоф заңдары бойынша электрлік тізбектер тәртібін есептеуге арналған неше теңдік бар:D) Тізбек неше тармақтан тұрса, сонша.

Кирхгофтың бірінші заңы бойынша: егер түйінде тоқтарының бағыттары әртүрлі бірнеше сымдар түйіссе, онда:C) Электр тізбегінің түйініне келтірілген тоқтар қосындысы, бұл түйіннен шыққан тоқтардың қосындысына тең, немесе электр тізбегіндегі түйіндік нүктедегі тоқтардың алгебралық қосындысы нолге тең.

Кирхгофтың бірінші заңы:C) .

Кирхгофтың екінші заңы:D) .

Кирхгофтың заңын пайдаланып кіріс тоғын анықтаңыз. Егер B, =10 Ом, =8 Ом: C) 9 А.

Кирхгофтың заңын пайдаланып кіріс тоғын анықтаңыз. Егер B, =10 Ом, =5 Ом: B) 18 А.

Кирхгофтың заңын пайдаланып кіріс тоғын анықтаңыз. Егер B, =40 Ом, =20 Ом: B) 9 А.

Комплекстік кедергінің аргументі :C) .

Комплекстік кедергінің аргументі:B) .

Комплекстік түріндегі Киргховтың бірінші заңы:B) .

Конденсатор астарлары арасындағы электр өрісінің энергиясы:E)
Конденсаторға мынандай кернеу түсірілген . Конденсатордың сыиымдылығы 100 мкФ. Тізбектегі максимал тоқ неге тең:B) 0,5 А.

Конденсатордағы электр өрісінің энергиясы W тең:A) .

Конденсатордың сыйымдылығы 100 мкФ, катушканың индуктивтілігі 40 мГн.Екі элемент те жиілігі өзгермелі синусоидалы тезбекке қосылған. Қандай жиілікте резонанс байқалады:C) 500 .

Конденсаторлар батареясының сыиымдылығынешеге тең, егер жеке конденсатордың сыиымдылығы 2 мкФ болса: A) 6 мкФ.

Контур сапалылығы қандай формуламен анықталады:B) .

Контур сапалылығының өлшем бірлігі:B) Сапалылық – өлшемсіз шама
Кернеу резонансындағы мінсіз контурдың (R=0) толық кедергісі тең:C) 0

Контур сапалылығының өлшем бірлігі:E) Қайырымдылық – шексіздік шама.

Контур сапалылығының өрнегінің дұрыс емесі:E) Q=
Контурдың анықтамасы: E) Тармақтар мен түйіндерден құралған тұйық талған жол
Контурдың сипаттама кедергісін есептегенде қай формула дұрыс емес:B) .

Контурдың сипаттамалық (толқынды) кедергісінің өрнегінің дұрыс емесі:B)

Контурлық тоқ әдісі:C) Күрделі тізбектерді есептеуге әмбебаб әдісі

Контурлық тоқтар әдісі... болып табылады:C) Күрделі тізбектерді есептеуге арналған әмбебаб әдіс.

Контурлық тоқтар электр тізбектерінің нақты тоқтары болып табыладыма:B) Жоқ.

Контурлық тоқтың бағыты қалай анықталады:E) Қалай болса солай.

Көптеген мемлекеттерде электр энергиялық қондырғылар үшін синусоидал тоқтың жиілігі 50 Гц деп алынған. Жиіліктің азаюы:B) Тиімсіз, себебі қызу лампаларының жыпылықтауы көрініп тұрады.

Көрсеткіштік түріндегі комплекстік өткізгіштік:A) .

ҚҚҚҚҚҚҚ

Қабылдағышқа максимал қуат берілу үшін не қажет:C) Қабылдағыштың кедергісін сымдар мен көздік қосынды кедергілерін теңестіру керек.

Қай тәуелділік графигі металлдарға сәйкес келеді: A) 1-график.

Қазақстанда қолданылатын өндірістік жиіліктің мәні[a][+]50Гц

Қандай құрылғы төртполюстікке жатпайды:B) Түзеткіш диод.

Қоректендіру көзі бар төртполюстік қалай аталады D) Актив.

Қоректендіру көзі жоқ төртполюстік қалай аталады C) Пассив.

Қоректену көзімен қабылдағыш арасына қосылған қабылдағышқа бір жиіліктегі тоқты өткізетін және басқа жиіліктегі тоқты өшіріп жіберетін төртполюстік:D) Жиілік электр сүзгіші

Қуат берілген кездегі сызыққа қандай кернеудегі энергияны берген тиімді:B) Жоғарылатылған кернеу.

Қуат коэффицентін жақсартуға болады, егер:B) Электротехникалық құралдарды басқа реактивті тоғы аз электротехникалық құралдарға ауыстырғанда.

Қуат коэффициенті – бұл:A) .

Қуат коэффициентін табу керек.C) 0.682

Қысқа тұйықталған тоқ күшін анықтыңыз, егер 2 Ом кедергіне ЭҚК 1,1 В көзіне қосқанда өтетін тоқтың шамасы 0,5 А тең болса:A) 5,5 А.

ММММММ

Магнит ағынының катушканың барлық орамдарымен ілісуі:B)
Металдағы электр тоғы дегеніміз не:C) Бейтарап бөлшектердің бағытталған қозғалысы.

Металдан жасалған өткізгіштің кедергісінің өсуіне қандай құбылыс жауапты:D) Кристалдық тордағы иондар тербелістерінің амплитудасының өсуі.

Мерзімді әуендіксіз тоқ тізбегін есептеу үшін қолданылатын тиімді әдіс:D) Беттестіру қағидатын қолданып, әр гармоникаға бөлек,тізбектің кез келген әдісімен есеп жүргізіледі

Меншікті электр кедергісінің өлшем бірлігі:A) Ом.м

Мінсіз (идеалды) ЭҚК қорек көзінің ішкі кедергісі:E) нөлге тең
Мінсіз (идеалды) тоқ қорек көзінің ішкі кедергісі:A) Шексіз үлкен

ООООО

Оралымдағы өздік индукция ЭҚК-і неден тәуелді:B) Бойымен тоқ өтетін жиіліктен.

Оралымның барлық тармақтарынан өтетін магнит ағынының ағындық қосылысы:B) .

Оралымның индуктивтілігі:D) .

Оралымның магнит өрісінің энергиясы:B) .

Оралымның шықпаларының арасындағы кернеудің қандай мәні дұрыс емес?D) .

ӨӨӨӨӨ

Өткізгіштік өлшем бірлігі:E) Сименс
Өткізгіштіктің ұзындығы мен диаметрін екі есе арттырғанда, өткізгіштіктің өткізгіштігі қалай өзгереді:A) Өзгермейді.

Өткізгіштің температурасы өзгерген болса, онң кедергісі қандай заңдылықпен өзгереді:B) .

Өшу коэффициентінің өлшем бірлігі:B) Децибел
Өшу коэффициентінің өлшем бірліктері:C) Непер, Децибел

Өшу коэффициентінің өлшем бірлігі:B) Непер
ППППП

Параллель резонанс кезіндегі кернеу мен тоқтың фазалар арасындағы ығысу бұрышы:D) 0.

Параллель тізбектегі жалпы кедергінің кемуі немен жалғасады:B) Тармақталмаған тізбек бөлігіндегі тоқ пен қуаттың артуымен.

Пассив қосүйектің бір период ішіндегі активті қуаты :A) .

Пассив қосүйектің бір период ішіндегі активті, реактивті және толық қуаты:B) .

Пассив қосүйектің бір период ішіндегі реактивті қуаты :B) .

Пассив қосүйектің бір период ішіндегі толық қуаты S:D) .

Пассив төртполюстіктің теңдеуін неше түрде жазуға болады:C) 6.

Пассив төртполюстіктің теңдеуінің Z – формасы қалай жазылады A) .

Пассивті екіполюстік кірмесіне түрлі жиіліктегі ЭҚК екі қорек көзін қосқанда мерзімді әуендестіксіз тоқтың пайда болуы:D) Пассивті екіполюстікке әсер ететін кернеу мерзімді әуендестіксіз

Период ішіндегі активті екіполюстіктің активті қуаты Р:D)

Период ішіндегі пассивті екіполюстіктің реактивті қуаты Q:E)
Период ішіндегі пассивті екіполюстіктің толық қуаты S:A) UI

РРРРРР

Реактив индуктивті қуат :C) .

Реактив сиымдылықты қуат :C) .

Реактивті қуат коэффициенті – бұл:B) .

Резистивті элемент тізбегі үшін Ом заңы:A) .

Резистивті элементтегі лездік қуат-синусоидалық шама болып табылады, жиілігі неге тең E) Тоқ жиілігінен екі есе үлкен.

Резистивтік, сыйымдылық және индуктивтік элементтердің параллель жалғанған тізбектің комплекстік өткізгіштігі:A) .

Резистор, сиымдылық және индуктивтілік параллель жалғанған тізбектің толық өткізгіштігі:E) .

Резисторларды параллель жалғаған кезде бөліктің жалпы кедергісі неге тең:B) Резисторлар кедергісінің кері шамаларының қосындысына.

Резисторларды тізбектей жалғаған кезде бөліктің жалпы кедергісі неге тең:A) Резисторлар кедергісінің қосындысына.

Резисторларды тізбектеп қосқандағы жалпы кедергісі:C) =

Резонанс кезіндегі параллель тербелмелі контурда:C) Көзден қоректенетін тоқ минималды, ал С және L арқылы өтетін тоқтар шексіздікке дейін өсе алады.

Реостаттың сымдарын неліктен мыстан жасауға болмайды:A) Оның кедергісі өте төмен.

Резонанстық бұрыштық жиіліктің өрнегі:E) =

ССССС

СИ жүйесіндегі магнит ағынының негізгі бірлігі:C) Вебер.

СИ жүйесіндегі электр сыйымдылықтың өлшем бірлігі:E) Фарад.

Симметриялы үш фазалық жүйеде:D) , , .

Синусоидал тоқтың әсер етуші мәні:A) .

Синусоидал тоқтың орташа мәні:B) тең болатын жартыпериодта анықталады.

Синусоидал тоқтың орташа мәні:D) .

Синусоидалды тоқ тізбегіндегі индуктивті катушкадағы тоқ пен кернеу арасындағы фазалық ығысу бұрышы:E) Кернеу тоқтан 90 озады
Синусоидалды тоқ тізбегіндегі конденсатордағы тоқ пен кернеу арасындағы фазалық ығысу бұрышы:A) Кернеу тоқтан 90 қалады

Синусоидалды тоқ тізбегіндегі резистордағы тоқ пен кернеу арасындағы фазалық ығысу бұрышы:D) Ығысу бұрышы нөлге тең

Синусоидалды тоқтың әсерлік мәні:E) .

Синусоидалды тоқтың орташа мәнінің өрнегі:C) 2Im/

Синусоидалы тоқ тізбегін есептегенде тоқ пен кернеуді көрсетудің ыңғайлы түрі: D) Комплексті (кешенді) сандар

Синусоидалы тоқ тізбегін есептегенде тоқ пен кернеудің қай түрін қолданған тиімді:D) Комплекстік сандар.

Синусоидалы тоқ тізбегінде қосылған индуктивті элементтің жилігінің артуынан кедергі:C) Өседі.

Синусоидалы тоқ тізбегінде қосылған резистивті элементтің тоқ және кернеу шамаларының комплексті векторлар:A) Фаза бойынша сәйкес келеді.

Синусоидалы тоқ тізбегіндегі актив кедергі:C) Фазадағы тоқты өзгертпейді.

Синусоидалы тоқ тізбегіне қосылған индуктивті элементтегі кернеу:C) Тоқтан 900-қа озады.

Синусоидалы тоқ тізбегіне қосылған сыйымдылық элементінің кернеуі:A) Тоқтан 900 қалады.

Синусоидалы тоқ, триганометрия функциясы түрінде жазылған. Оған сәйкес келетін тоқтың комплекстік мәні :C) .

Синусоидалы тоқтың тармақталмаған тізбегіндегі комплекстік кедергі:A) .

Синусоидалы тоқтың тармақталмаған тізбегіндегі комплекстік өткізгіштігі: E) .

Синусоидалы тоқтың тұрақты тоқпен салыстырғандағы негізгі ерекшелігі:A)Трансформациялау мүмкіндігі.

Cинусоидалды шаманың орташа мәні кезеңінің жартысын есептеу себебі:A) Синусоидалды функция кезеңіндегі орташа мән уақыттың осіне байланысты симметриялы нөлге тең, ал кезеңнің жартысында функция белгісін (таңбасын) өзгертпейді

Сиымдылық элементі үшін бір период ішіндегі қуаттың орташа мәні :D) 0.

Сиымдылық элементіндегі лездік қуат- синусоидалық шама, оның жиілігі неге тең:C) Тоқ жиілігінен екі есе үлкен.

Сиымдылықты өткізгіштік анықталады:E) .

Суретте көрсетілген тізбектің параметрлерінің мәндері төмендегідей: R1=8 Ом, =6 Ом, R2=12 Ом, =5 Ом. Параллель тізбектің эквивалентті (баламалы) кедергісінің мәні: D) 6.364+j1.282 Ом

Суретте көрсетілген тізбектің параметрлерінің мәндері төмендегідей: R1= 8 Ом, = 6 Ом, R2= 12 Ом, = 5 Ом. Параллель тізбектің эквивалентті (баламалы) кедергісінің мәнін көрсеткіш функциялар түрінде анықтаңыз: B) 6.5

Суретте көрсетілген элементтердің параметрлерінің мәндері төмендегідей: L1 = 10 мГн, L2 = 20 мГн, C1 = 4 мкФ, C2 =1мкФ. Резонанстық бұрыштық жиіліктердің мәндерін табу керек: A) 5000 , 7000 , 6455

Сүзгі арқылы әлсіреп өтетін жиілік диапазоны - бұл:C) Өшу жолағы.

Сүзгі арқылы өшпей өтетін жиілік диапазоны - бұл:D) Өткізу жолағы.

Сүзгі арқылы өшпей өтетін жиілік диапазоны - бұл:D) Өткізу жолағы.

Сызықты резисторлардан тұратын тізбе кке есептеу үшін қандай әдіс тиімді:E) (A-C) кез келгені.

Сызықтық сыйымдылық элементіндегі тоқ:E)

Сыйымдылық элементтің комплекстік кедергісі:A) .

Сыиымдылықтың өлшем бірлігі:E) Ф.

ТТТТТТ

Тармақталмаған тізбек бөлігі үшін Ом заңы:B) .

Тармақталмаған тізбектің толық кедергісі:A) .

Тоқ және кернеу резонанстарынан электроэнергетикалық қондырғылар үшін не қауіпті?B) Кернеудің резонансы ең қауіпті.

Тоқ күшінің өлшем бірлігі:A) Ампер.

Тоқ резонансы... мүмкін болады:B) Паралель тербелмелі контурда.

Тоқ резонансы:D) Параллель жалғанған тербемелі контурда кірме реактивті өткізгіштігі нөлге тең немесе кернеу мен тоқтың фазаларының айырымы нөлге тең

Тоқ сызықты сыйымдылық элементінде қалай анықталады:B) .

Тоқтар резонансы іске асқанда тоқ көзінен тұтынатын тоқ қандай мәнге дейін өседі:B) Минимум мәнге дейін.

Тоқтар резонансы іске асырылғанда идеал контурдың (R=0) толық өткізгіштігі неге тең:A) 0.

Тоқтың өзгеру заңдылығы i=28.2 sin(628t+45 ) A. Оның f жиілігінің мәні:E) 100 Гц
Тоқтың өзгеру заңдылығы i=28.2 sin(628t+45 ) A. Оның I әсерлік мәні:A) 20 А

Тоқтың өзгеру заңдылығы i=28.2 sin(628t+45 ) A. Оның T периодының мәнін анықтау:B) 10 мс
Тоқтың өлшем бірлігі:D) Ампер

Толық қуатты табу керек.B) 140.94 BA

 

Толық тізбек үшін жазылған Ом заңы:C) .

Төмендегі көрсетілген сұлбадағы тізбектің кернеуін анықтау керек, егер E1=6 B, E2=1.5 B, R1=2 Ом, R2=5 Ом, R3=20 Ом: B) 4.4 B

 

Төмендегі көрсетілген сұлбадағы тізбектің I3 тармағындағы тоқты табу керек, егер E1=6 B, E2=1.5 B, R1=2 Ом, R2=5 Ом, R3=20 Ом: E)0,22 А
Төртполюстік – бұл, конфигурациясы еркін құрастырылған сұлбаның... бір бөлігі: A) Екі пар қысқышы.

Төртполюстік емес құрылғы:B) Түзеткіш диод
Төртполюстіктердің сүзгіш қасиеттері қандай құбылыстарға сүйенеді: C) Резонанстық құбылыстармен.

Трансформатордың жұмыс істеу принципі неге негізделген:C) Электромагниттік индукция заңына.

Тригонометриялық қатардың тұрақты құрамы: B) k = 0

Тригонометриялық қатардағы негізгі гармоника:A) k = 1

Тұрақты тоқ тізбектері үшін Кирхгофтың бірінші заңы:C) Тізбектің кез келген түйініндегі тоқтардың алгебралық қосындысы нөлге тең

Тұрақты тоқ тізбектері үшін Кирхгофтың екінші заңы: B) Күрделі электр тізбектегі кез келген тұйықталған контурда, контур кедергісіндегі барлық кернеулердің алгебралық қосындысы, осы контурдағы қорек көзі ЭҚК-нің алгебралық қосындысына тең
Тұрақты тоқ тізбек бөлігі үшін Ом заңы:D) I=U/R

Түйінді кернеу әдісін қолдану шарты:E) Күрделі тізбектің екі түйіні болса
Төртполюстіктің сүзгіштік қасиеті:A) Резонанстың режимдеріне – тоқ пен кернеудің резонанстарына байланысты

Түйіндік кернеу әдісін қай жағдайда қолдануға болады:E) Күрделі тізбек екі түйіннен тұрғанда.

Түйіннің анықтамасы:D) Электр тізбектегі тармақтардың қосылған жері (үштен кем емес)

Тізбек ішкі кедергісі r =1,5 Ом тең, ал ЭҚК= 4,5 В тең және мына R1=4,5 Ом 6 R2=3 Ом. кедергілерден тұрады. R2 кедергідегі кернеуді анықтаңыз: A) 1,5В.

Тізбек ішкі кедергісі r=0,3 Ом тең, ал ЭҚК= 7,5 В тең және параллель қосылған екі =3 Ом и =2 Ом тұрады. Екінші кедергідегі тоқ күшін анықтаңыз: B) ЗА.

Тізбектегі айнымалы тоқтың жиілігі f=50Гц. Тізбекке қосылған катушканың кедергісін табыңыз, егер оның индуктивтілігі L=100мГн:E) 31,4 Ом.

Тізбектегі айнымалы тоқтың жиілігі f=50Гц. Тізбекке қосылған катушканың индуктивтілік кедергісі 62,8 Ом. Катушканың индуктивтілігі неге тең:A) 200 мГн.

Тізбектегі синусоидалды тоқтың жиілігі 50 Гц. Тізбекке қосылған индуктивті катушканың кедергісін анықтау керек, егер L = 200 мГн: A) 62.8 Ом

Тізбектегі синусоидалды тоқтың жиілігі 50 Гц. Тізбекке қосылған индуктивті катушканың кедергісін 31.4 Ом. Катушканың индуктивтілігінанықтау керек:B) 100 мГн
Тізбекке тізбектей L = 10 мГн, C = мкФ, R = 5 Ом элементтеі қосылған. Контурдың сапалылығы қандай:C) 20

Тізбектегі тоқ 0.1А, кернеу 100В, жұмсалатын қуат 9 Вт. неге тең:C) 0,1.

Тізбектегі тоқ 0.1А, кернеу 100В, жұмсалатын қуат 9 Вт. Тізбектің қуат коэффициенті неге тең:B) 0,9.

Тізбектей резонанс кезіндегі кернеу мен тоқтың фазалар арасындағы ығысу бұрышы:D) 0.

Тізбектелген тербелмелі контурдағы салыстырмалы жиілік:E) Ағымдағы жиіліктің резонанстық жиілікке қатынасы
Тербемелі контурдың контур сапалылығына кері шама:A) Өшуі

Тізбекті есептегенде нені қолданамыз:C) Ауыстыру схемасын.

Тізбектің бөлігіндегі кернеуді анықтаңыз. Егер жалпы U=120 B, =2 A, =20 Ом: A) 40 В.

Тізбектің бөлігіндегі кернеуді анықтаңыз. Егер жалпы кернеу U=60B, =2A, = =5 Ом: B) 40 В.

Тізбектің “c”-“d” бөлігіндегі кернеуді анықтаңыз. Егер B, =4 A, =5 Ом: E) 10 В.

Тізбектің “c”-“d” бөлігіндегі кернеуді анықтаңыз. Егер B, =2 A, =4 Ом: C) 12 В.

Тізбектің актив, реактив және толық қуаттары немен өлшенеді:B) Сәйкесінше Ваттпен, Вармен және Вольт-ампермен.

Тізбектің бөлігі үшін жалпы кернеуді анықтаңыз. Егер B, = 2A, =5 Ом: C) 30 В.

Тізбектің бөлігі үшін жалпы кернеуді анықтаңыз. Егер B, =4A, =4Ом: A) 26 В.

Тізбектің бөлігі үшін жалпы кернеуді анықтаңыз. Егер B, =5A, =7 Ом: B) 53 В.

Тізбектің жалпы кедергісін анықтаңыз Ом, Ом: A) 4,91Ом

Тізбектің жалпы кедергісін анықтаңыз



<== предыдущая лекция | следующая лекция ==>
Отчет по лабораторной работе. «Кислородно-конверторная обработка стали» | Понятие, предмет и функции уголовного права.

Дата добавления: 2015-09-07; просмотров: 6940. Нарушение авторских прав; Мы поможем в написании вашей работы!




Практические расчеты на срез и смятие При изучении темы обратите внимание на основные расчетные предпосылки и условности расчета...


Функция спроса населения на данный товар Функция спроса населения на данный товар: Qd=7-Р. Функция предложения: Qs= -5+2Р,где...


Аальтернативная стоимость. Кривая производственных возможностей В экономике Буридании есть 100 ед. труда с производительностью 4 м ткани или 2 кг мяса...


Вычисление основной дактилоскопической формулы Вычислением основной дактоформулы обычно занимается следователь. Для этого все десять пальцев разбиваются на пять пар...

Сосудистый шов (ручной Карреля, механический шов). Операции при ранениях крупных сосудов 1912 г., Каррель – впервые предложил методику сосудистого шва. Сосудистый шов применяется для восстановления магистрального кровотока при лечении...

Трамадол (Маброн, Плазадол, Трамал, Трамалин) Групповая принадлежность · Наркотический анальгетик со смешанным механизмом действия, агонист опиоидных рецепторов...

Мелоксикам (Мовалис) Групповая принадлежность · Нестероидное противовоспалительное средство, преимущественно селективный обратимый ингибитор циклооксигеназы (ЦОГ-2)...

Прием и регистрация больных Пути госпитализации больных в стационар могут быть различны. В цен­тральное приемное отделение больные могут быть доставлены: 1) машиной скорой медицинской помощи в случае возникновения остро­го или обострения хронического заболевания...

ПУНКЦИЯ И КАТЕТЕРИЗАЦИЯ ПОДКЛЮЧИЧНОЙ ВЕНЫ   Пункцию и катетеризацию подключичной вены обычно производит хирург или анестезиолог, иногда — специально обученный терапевт...

Ситуация 26. ПРОВЕРЕНО МИНЗДРАВОМ   Станислав Свердлов закончил российско-американский факультет менеджмента Томского государственного университета...

Studopedia.info - Студопедия - 2014-2026 год . (0.011 сек.) русская версия | украинская версия