Студопедия Главная Случайная страница Обратная связь

Разделы: Автомобили Астрономия Биология География Дом и сад Другие языки Другое Информатика История Культура Литература Логика Математика Медицина Металлургия Механика Образование Охрана труда Педагогика Политика Право Психология Религия Риторика Социология Спорт Строительство Технология Туризм Физика Философия Финансы Химия Черчение Экология Экономика Электроника

Автоматизация теплообменников





Передачу тепла от горячих теплоносителей к более холодным осуществляют в теплообменниках. Различают теплообменники непосредственного смешения теплоносителей и поверхностные теплообменники, в которых тепло передается через глухую разделительную стенку. В последних теплопередача может протекать без изменения агрегатного состояния теплоносителей (нагреватели, холодильники) и с изменением агрегатного состояния (испарители, конденсаторы).

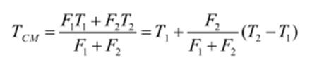
Регулирование теплообменников смешения заключается в поддержании постоянства температуры Тсм суммарного потока на выходе. Входными величинами теплообменника являются расходы жидкостей на входе (F 1 и F 2) и их температуры (Т 1 и Т 2). Если Т 2 > Тсм > Т 1, а также если удельные теплоемкости и плотности жидкостей обеих потоков одинаковы, то зависимость Тсм от входных величин находится из уравнения теплового баланса (потерями пренебрегаем):

Температуру Т СМ обычно стабилизируют посредством изменения расхода одного из входных потоков. Теплообменники смешения обладают малым запаздыванием и значительным самовыравниванием.

Регулирование поверхностных теплообменников, заключается в поддержании постоянства температуры одного из теплоносителей на выходе из теплообменника, например, температуры T x2

а б

 

Температура Т х2 зависит от скорости передачи тепла или теплового потока q через стенку:

Решая (*) совместно с уравнениями теплового баланса, получают зависимость Т х2 от входных переменных. Как правило Т х2 регулируют изменением расхода горячего теплоносителя, однако расчеты показывают, что она более чувствительна к нагрузке холодного теплоносителя, чем к расходу горячего теплоносителя. В связи с этим затрудняется качественное регулирование теплообменников в широком интервале изменения расходов теплоносителей и требуются регуляторы с дифференциальной составляющей.

Если по условиям технологии не допускается изменение потоков теплоносителей, то температуру продукта на выходе из теплообменника регулируют путем байпасирования части продукта и изменения его расхода. При этом регулирующий клапан устанавливают на байпасной линии (рис. б).

Если в качестве греющего агента применяют водяной пар, то температуру технологического продукта обычно регулируют путем изменения подачи пара (рис. а). При значительных колебаниях давления пара применяют каскадную систему регулирования давления пара с корректировкой по температуре нагретого продукта.

 

Возможно также регулирование скорости теплопередачи путем поддерживания постоянства температуры продукта на выходе из теплообменника клапаном, установленным на линии отвода конденсата (рис. б). Это приводит к частичному заполнению теплообменника конденсатом. Такая система реагирует медленнее, чем система с клапаном, установленным на линии подачи греющего пара. Но она позволяет лучше использовать тепло водяного пара, так как значения его давления и температуры более высоки, вследствие отсутствия дополнительных гидравлических сопротивлений на паропроводе, а отводимый конденсат принимает температуру несколько меньшую, чем температура конденсации пара. Это позволяет повысить эффективность работы теплообменника на 5 – 7%. Кроме того, клапан, установленный на линии отвода конденсата, будет меньше по размерам того, который установлен на линии подачи греющего пара.








Дата добавления: 2015-08-12; просмотров: 3315. Нарушение авторских прав; Мы поможем в написании вашей работы!




Кардиналистский и ординалистский подходы Кардиналистский (количественный подход) к анализу полезности основан на представлении о возможности измерения различных благ в условных единицах полезности...


Обзор компонентов Multisim Компоненты – это основа любой схемы, это все элементы, из которых она состоит. Multisim оперирует с двумя категориями...


Композиция из абстрактных геометрических фигур Данная композиция состоит из линий, штриховки, абстрактных геометрических форм...


Важнейшие способы обработки и анализа рядов динамики Не во всех случаях эмпирические данные рядов динамики позволяют определить тенденцию изменения явления во времени...

Плейотропное действие генов. Примеры. Плейотропное действие генов - это зависимость нескольких признаков от одного гена, то есть множественное действие одного гена...

Методика обучения письму и письменной речи на иностранном языке в средней школе. Различают письмо и письменную речь. Письмо – объект овладения графической и орфографической системами иностранного языка для фиксации языкового и речевого материала...

Классификация холодных блюд и закусок. Урок №2 Тема: Холодные блюда и закуски. Значение холодных блюд и закусок. Классификация холодных блюд и закусок. Кулинарная обработка продуктов...

ФАКТОРЫ, ВЛИЯЮЩИЕ НА ИЗНОС ДЕТАЛЕЙ, И МЕТОДЫ СНИЖЕНИИ СКОРОСТИ ИЗНАШИВАНИЯ Кроме названных причин разрушений и износов, знание которых можно использовать в системе технического обслуживания и ремонта машин для повышения их долговечности, немаловажное значение имеют знания о причинах разрушения деталей в результате старения...

Различие эмпиризма и рационализма Родоначальником эмпиризма стал английский философ Ф. Бэкон. Основной тезис эмпиризма гласит: в разуме нет ничего такого...

Индекс гингивита (PMA) (Schour, Massler, 1948) Для оценки тяжести гингивита (а в последующем и ре­гистрации динамики процесса) используют папиллярно-маргинально-альвеолярный индекс (РМА)...

Studopedia.info - Студопедия - 2014-2026 год . (0.012 сек.) русская версия | украинская версия