Студопедия Главная Случайная страница Обратная связь

Разделы: Автомобили Астрономия Биология География Дом и сад Другие языки Другое Информатика История Культура Литература Логика Математика Медицина Металлургия Механика Образование Охрана труда Педагогика Политика Право Психология Религия Риторика Социология Спорт Строительство Технология Туризм Физика Философия Финансы Химия Черчение Экология Экономика Электроника

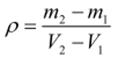
Измерение плотности сыпучих материалов.





Плотность грубодисперсных порошков, частицы которых не содержат пор, определяют с помощью мерной колбы. Сначала колба заполняется жидкостью до определенной отметки на нижней шкале (объем V1), и взвешивается (m 1). Затем в нее добавляют материал до тех пор, пока жидкость не поднимется до отметки на верхней шкале (объем V 2) и снова взвешивают (m 2).

 

Плотность определяют по формуле:

.








Дата добавления: 2015-08-12; просмотров: 565. Нарушение авторских прав; Мы поможем в написании вашей работы!




Важнейшие способы обработки и анализа рядов динамики Не во всех случаях эмпирические данные рядов динамики позволяют определить тенденцию изменения явления во времени...


ТЕОРЕТИЧЕСКАЯ МЕХАНИКА Статика является частью теоретической механики, изучающей условия, при ко­торых тело находится под действием заданной системы сил...


Теория усилителей. Схема Основная масса современных аналоговых и аналого-цифровых электронных устройств выполняется на специализированных микросхемах...


Логические цифровые микросхемы Более сложные элементы цифровой схемотехники (триггеры, мультиплексоры, декодеры и т.д.) не имеют...

Краткая психологическая характеристика возрастных периодов.Первый критический период развития ребенка — период новорожденности Психоаналитики говорят, что это первая травма, которую переживает ребенок, и она настолько сильна, что вся последую­щая жизнь проходит под знаком этой травмы...

РЕВМАТИЧЕСКИЕ БОЛЕЗНИ Ревматические болезни(или диффузные болезни соединительно ткани(ДБСТ))— это группа заболеваний, характеризующихся первичным системным поражением соединительной ткани в связи с нарушением иммунного гомеостаза...

Решение Постоянные издержки (FC) не зависят от изменения объёма производства, существуют постоянно...

Хронометражно-табличная методика определения суточного расхода энергии студента Цель: познакомиться с хронометражно-табличным методом опреде­ления суточного расхода энергии...

ОЧАГОВЫЕ ТЕНИ В ЛЕГКОМ Очаговыми легочными инфильтратами проявляют себя различные по этиологии заболевания, в основе которых лежит бронхо-нодулярный процесс, который при рентгенологическом исследовании дает очагового характера тень, размерами не более 1 см в диаметре...

Примеры решения типовых задач. Пример 1.Степень диссоциации уксусной кислоты в 0,1 М растворе равна 1,32∙10-2   Пример 1.Степень диссоциации уксусной кислоты в 0,1 М растворе равна 1,32∙10-2. Найдите константу диссоциации кислоты и значение рК. Решение. Подставим данные задачи в уравнение закона разбавления К = a2См/(1 –a) =...

Studopedia.info - Студопедия - 2014-2025 год . (0.009 сек.) русская версия | украинская версия