Студопедия Главная Случайная страница Обратная связь

Разделы: Автомобили Астрономия Биология География Дом и сад Другие языки Другое Информатика История Культура Литература Логика Математика Медицина Металлургия Механика Образование Охрана труда Педагогика Политика Право Психология Религия Риторика Социология Спорт Строительство Технология Туризм Физика Философия Финансы Химия Черчение Экология Экономика Электроника

Гидроцилиндры





В сельскохозяйственных машинах широко используют гидроцилиндры. Гидроцилиндр наиболее распространенного типа - с односторонним штоком - представляет собой гильзу 2 - трубу с тщательно обработанной внутренней поверхностью. Внутри гильзы перемещается поршень 5, имею­щий резиновые манжетные уплотнения 4, которые предотвра­щают перетекание жидкости из полостей цилиндра, разделен­ных поршнем. Усилие от поршня передает шток 3, имеющий полированную поверхность. Для его направления служит грунд-букса 1.

Для подвода и отвода рабочей жидкости с двух сторон гильзы укреплены крышки с отверстиями. Уплотнение между штоком и крышкой состоит из двух манжет, одна из которых предотвраща­ет утечки жидкости из цилиндра, а другая служит грязесъемником.

Скорость перемещения штока цилиндра зависит от направле­ния подачи жидкости. Если жидкость от насоса подается в поршневую полость n, то скорость перемещения штока (м/с)

гае Q - подача, м3/с; Dц - внутренний диаметр гильзы цилиндра; ήo - объем­ный КПД.

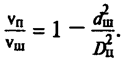
Скорость поршня увеличится и при поступлении жидкости в штоковую полость цилиндра станет равной

где dш диаметр штока.

От соотношения диаметров цилиндра и штока зависит отно­шение скоростей движения штока в указанных направлениях.

Рис. Гидроцилиндры специального назначения:

а - телескопический двойного действия; б - сдвоенный; в - многоскоростной

Для увеличения скорости обратного (часто нерабочего) хода используют эту особенность.

Выпускают также гидроцилиндры специального назначения: телескопический двойного действия, сдвоенные и многоскорост­ные.

Телескопические цилиндры одностороннего и двухстороннего действия, которые в собранном состоянии имеют небольшие размеры, применяют для увеличения хода штока.

Телескопические цилиндры, как и обычные, способны разви­вать усилия только в одном направлении - на выталкивание штока. Под действием силы тяжести поднятого груза или устрой­ства совершается обратный ход - втягивание штока.







Дата добавления: 2015-09-07; просмотров: 461. Нарушение авторских прав; Мы поможем в написании вашей работы!




Обзор компонентов Multisim Компоненты – это основа любой схемы, это все элементы, из которых она состоит. Multisim оперирует с двумя категориями...


Композиция из абстрактных геометрических фигур Данная композиция состоит из линий, штриховки, абстрактных геометрических форм...


Важнейшие способы обработки и анализа рядов динамики Не во всех случаях эмпирические данные рядов динамики позволяют определить тенденцию изменения явления во времени...


ТЕОРЕТИЧЕСКАЯ МЕХАНИКА Статика является частью теоретической механики, изучающей условия, при ко­торых тело находится под действием заданной системы сил...

Уравнение волны. Уравнение плоской гармонической волны. Волновое уравнение. Уравнение сферической волны Уравнением упругой волны называют функцию , которая определяет смещение любой частицы среды с координатами относительно своего положения равновесия в произвольный момент времени t...

Медицинская документация родильного дома Учетные формы родильного дома № 111/у Индивидуальная карта беременной и родильницы № 113/у Обменная карта родильного дома...

Основные разделы работы участкового врача-педиатра Ведущей фигурой в организации внебольничной помощи детям является участковый врач-педиатр детской городской поликлиники...

Упражнение Джеффа. Это список вопросов или утверждений, отвечая на которые участник может раскрыть свой внутренний мир перед другими участниками и узнать о других участниках больше...

Влияние первой русской революции 1905-1907 гг. на Казахстан. Революция в России (1905-1907 гг.), дала первый толчок политическому пробуждению трудящихся Казахстана, развитию национально-освободительного рабочего движения против гнета. В Казахстане, находившемся далеко от политических центров Российской империи...

Виды сухожильных швов После выделения культи сухожилия и эвакуации гематомы приступают к восстановлению целостности сухожилия...

Studopedia.info - Студопедия - 2014-2025 год . (0.01 сек.) русская версия | украинская версия