Студопедия Главная Случайная страница Обратная связь

Разделы: Автомобили Астрономия Биология География Дом и сад Другие языки Другое Информатика История Культура Литература Логика Математика Медицина Металлургия Механика Образование Охрана труда Педагогика Политика Право Психология Религия Риторика Социология Спорт Строительство Технология Туризм Физика Философия Финансы Химия Черчение Экология Экономика Электроника

Укрупненная оценка экономического ущерба





Для оценки эколого-экономического ущерба окружающей среды рекомендован ряд методик. Среди них наибольшее распространение получил укрупненный метод расчета. Укрупненный метод оценки экономического ущерба от загрязнения атмосферы основан на использовании в расчетах удельных величин ущерба на единицу выбросов загрязняющих веществ, приведенной массы выбросов в год и основных факторов, характеризующих вредность выбросов.

Экономическая оценка ущерба Уа (руб./год), причиняемого выбросами загрязняющих веществ в атмосферу, для любого источника определяется по формуле:

ya=γ σ f M,

где γ - константа, численное значение которой равно 2,4 руб. на условную тонну выбросов, руб/ усл. т (в ценах 1984 г.); σ - показатель, характеризующий относительную опасность загрязнения атмосферного воздуха в зависимости от типа территории; f - коэффициент, учитывающий характер рассеивания примеси в атмосфере; М - приведенная масса годового выброса загрязнения из источника, усл. т/год.

Для учета возрастания цен константу γ принимают с коэффициентом инфляции на момент выполнения необходимых расчетов.

Показатель относительной опасности загрязнения атмосферы a приведен ниже.

Территория курортов, заповедников 10

Пригородные зоны отдыха 8

Населенные пункты 8

Территории промышленных предприятий и узлов, включая защитные зоны 4

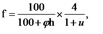
Коэффициент характера рассеивания примеси в атмосфере f определяется следующим образом:

для газообразных примесей и мелкодисперсных частиц со скоростью оседания менее 1 см/с

 

Для частиц, оседавших со скоростью 1-20 см/с:

для частиц, оседающих со скоростью свыше 20 см/с, f=10,

где h-геометрическая высота устья источника выброса, м; U- среднегодовое значение модуля скорости ветра на уровне флюгера, м/с; φ-поправка на тепловой объем факела выброса в атмосфере.

Значение поправки φ на тепловой объем факела выброса определяется по формуле

где ΔT - среднегодовое значение разности температур в устье источника и окружающей среде, °С.

Скорость оседания (витания) частиц при известных диаметрах определяется с помощью номограмм (приложение 1, 2,3).

Если скорость оседания частиц неизвестна, то значение поправки f определяется в зависимости от коэффициента очистки выбросов. При η≥90% значение f определяется по формуле для частиц со скоростью оседания менее 1 см/с, если 70%≤η<90% - по формуле для частиц со скоростью оседания 1 -20 см/с, при 70 %<η -принимается равной 10.

Значение h (м) соответствует геометрической высоте устья источника выброса по отношению к среднему уровню зоны активного загрязнения.

Значение U (м/с) соответствует скорости ветра на уровне флюгера, если его значение неизвестно, то U=3 м/с.

Если значение f для разных видов загрязнения (газы, твердые частицы), выбрасываемых одним источником, различны, то общая оценка ущерба суммируется.

Значение приведенной массы М (усл.т/год) годового выброса загрязнения в атмосферу определяется по формуле

где mi - масса годового выброса примеси i-го вида в атмосферу, т/год; ai - показатель относительной опасности примеси i-го вида, усл.т/т; n - общее число примесей, выбрасываемых источником в атмосферу.

Значения Ai (усл.т/т) для некоторых примесей (вредных веществ) приведенных ниже

 

Диоксид азота Азотная кислота Аммиак Ацетон Бенз(а)пирен Бензин Фтористый водород Хлористый водород Диоксид кремния Медь Марганец и его соединения Оксид азота Золы углей: Кузнецких березовских 41,1 8,3 10,4 2,22 12,6*105 6,9 15,4 83,2 41,1  

 







Дата добавления: 2015-08-12; просмотров: 1181. Нарушение авторских прав; Мы поможем в написании вашей работы!




Важнейшие способы обработки и анализа рядов динамики Не во всех случаях эмпирические данные рядов динамики позволяют определить тенденцию изменения явления во времени...


ТЕОРЕТИЧЕСКАЯ МЕХАНИКА Статика является частью теоретической механики, изучающей условия, при ко­торых тело находится под действием заданной системы сил...


Теория усилителей. Схема Основная масса современных аналоговых и аналого-цифровых электронных устройств выполняется на специализированных микросхемах...


Логические цифровые микросхемы Более сложные элементы цифровой схемотехники (триггеры, мультиплексоры, декодеры и т.д.) не имеют...

Тема: Изучение фенотипов местных сортов растений Цель: расширить знания о задачах современной селекции. Оборудование:пакетики семян различных сортов томатов...

Тема: Составление цепи питания Цель: расширить знания о биотических факторах среды. Оборудование:гербарные растения...

В эволюции растений и животных. Цель: выявить ароморфозы и идиоадаптации у растений Цель: выявить ароморфозы и идиоадаптации у растений. Оборудование: гербарные растения, чучела хордовых (рыб, земноводных, птиц, пресмыкающихся, млекопитающих), коллекции насекомых, влажные препараты паразитических червей, мох, хвощ, папоротник...

Метод Фольгарда (роданометрия или тиоцианатометрия) Метод Фольгарда основан на применении в качестве осадителя титрованного раствора, содержащего роданид-ионы SCN...

Потенциометрия. Потенциометрическое определение рН растворов Потенциометрия - это электрохимический метод иссле­дования и анализа веществ, основанный на зависимости равновесного электродного потенциала Е от активности (концентрации) определяемого вещества в исследуемом рас­творе...

Гальванического элемента При контакте двух любых фаз на границе их раздела возникает двойной электрический слой (ДЭС), состоящий из равных по величине, но противоположных по знаку электрических зарядов...

Studopedia.info - Студопедия - 2014-2026 год . (0.014 сек.) русская версия | украинская версия