Студопедия Главная Случайная страница Обратная связь

Разделы: Автомобили Астрономия Биология География Дом и сад Другие языки Другое Информатика История Культура Литература Логика Математика Медицина Металлургия Механика Образование Охрана труда Педагогика Политика Право Психология Религия Риторика Социология Спорт Строительство Технология Туризм Физика Философия Финансы Химия Черчение Экология Экономика Электроника

ПРАВИЛА ЗНАКОВ ПРИ УМНОЖЕНИИ (ДЕЛЕНИИ) ЧИСЕЛ





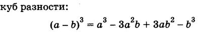
ФОРМУЛЫ СОКРАЩЕННОГО УМНОЖЕНИЯ

1.

 

2.

 

3.

 

4.

 

5.

 

6.

 

7.

ФОРМУЛА КОРНЕЙ КВАДРАТНОГО УРАВНЕНИЯ

1. Полное квадратное уравнение:

2. Приведенное квадратное уравнение:

3. Квадратного уравнения с четным вторым коэффициентом:

 

 

КООРДИНАТЫ ВЕРШИНЫ ПАРАБОЛЫ

 


ФАКТОРИАЛ

Основное свойство факториала

0! = 1

ПРАВИЛА ЗНАКОВ ПРИ УМНОЖЕНИИ (ДЕЛЕНИИ) ЧИСЕЛ

 







Дата добавления: 2015-09-04; просмотров: 936. Нарушение авторских прав; Мы поможем в написании вашей работы!




Обзор компонентов Multisim Компоненты – это основа любой схемы, это все элементы, из которых она состоит. Multisim оперирует с двумя категориями...


Композиция из абстрактных геометрических фигур Данная композиция состоит из линий, штриховки, абстрактных геометрических форм...


Важнейшие способы обработки и анализа рядов динамики Не во всех случаях эмпирические данные рядов динамики позволяют определить тенденцию изменения явления во времени...


ТЕОРЕТИЧЕСКАЯ МЕХАНИКА Статика является частью теоретической механики, изучающей условия, при ко­торых тело находится под действием заданной системы сил...

Почему важны муниципальные выборы? Туристическая фирма оставляет за собой право, в случае причин непреодолимого характера, вносить некоторые изменения в программу тура без уменьшения общего объема и качества услуг, в том числе предоставлять замену отеля на равнозначный...

Тема 2: Анатомо-топографическое строение полостей зубов верхней и нижней челюстей. Полость зуба — это сложная система разветвлений, имеющая разнообразную конфигурацию...

Виды и жанры театрализованных представлений   Проживание бронируется и оплачивается слушателями самостоятельно...

Упражнение Джеффа. Это список вопросов или утверждений, отвечая на которые участник может раскрыть свой внутренний мир перед другими участниками и узнать о других участниках больше...

Влияние первой русской революции 1905-1907 гг. на Казахстан. Революция в России (1905-1907 гг.), дала первый толчок политическому пробуждению трудящихся Казахстана, развитию национально-освободительного рабочего движения против гнета. В Казахстане, находившемся далеко от политических центров Российской империи...

Виды сухожильных швов После выделения культи сухожилия и эвакуации гематомы приступают к восстановлению целостности сухожилия...

Studopedia.info - Студопедия - 2014-2026 год . (0.01 сек.) русская версия | украинская версия