Студопедия Главная Случайная страница Обратная связь

Разделы: Автомобили Астрономия Биология География Дом и сад Другие языки Другое Информатика История Культура Литература Логика Математика Медицина Металлургия Механика Образование Охрана труда Педагогика Политика Право Психология Религия Риторика Социология Спорт Строительство Технология Туризм Физика Философия Финансы Химия Черчение Экология Экономика Электроника

ЭЛЕМЕНТЫ СТАТИСТИЧЕСКОЙ ФИЗИКИ





· Распределение Больцмана (распределение частиц в силовом поле)

n=n 0e-U/(k T),

где п — концентрация частиц; U их потенциальная энергия; n 0 — концентрация частиц в точках поля, где U=0; k постоян­ная Больцмана; T — термодинамическая температура; е — основа­ние натуральных логарифмов.

· Барометрическая формула (распределение давления в одно­родном поле силы тяжести)

р=p 0e-mgz/(k T ), или p=p 0e -M gz/(R T),

где р — давление газа; m масса частицы; М — молярная масса; z — координата (высота) точки по отношению к уровню, принятому за нулевой; р 0 давление на этом уровне; g ускорение свобод­ного падения; R молярная газовая постоянная.

· Вероятность того, что физическая величина х, характери­зующая молекулу, лежит в интервале значений от х до x +d x, определяется по формуле

d W(x)=f(x) d x *

где f(x) —функция распределения молекул по значениям данной физической величины х (плотность вероятности).

 

* Приведенная формула выражает также долю молекул, для которых физическая величина х заключена в интервале от х до х +d х.

· Количество молекул, для которых физическая величина х, характеризующая их, заключена в интервале значений от х до x +d x,

d N=N d W(x)=Nf(x) d x.

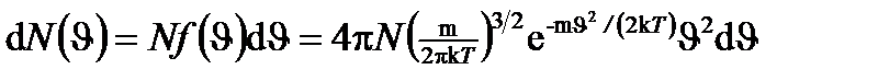
· Распределение Максвелла (распределение молекул по ско­ростям) выражается двумя соотношениями:

а) число молекул, скорости которых заключены в пределах от J до J+dJ,

,

где f (J) функция распределения молекул по модулям скоростей, выражающая отношение вероятности того, что скорость молекулы лежит в интервале от J до J+dJ, к величине этого интервала, а также долю числа молекул, скорости которых лежат в указанном интервале; N — общее число молекул; m масса молекулы;

б) число молекул, относительные скорости которых заключены в пределах от u до u +d u,

где u =J/Jв — относительная скорость, равная отношению скорости J к наивероятнейшей скорости Jв (о скоростях молекулы см. §9); f (u) функция распределения по относительным скоростям.

· Распределение молекул по импульсам. Число молекул, им­пульсы которых заключены в пределах от р до p +d p,

,

где f (p) функция распределения по импульсам.

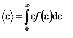
· Распределение молекул по энергиям. Число молекул, энер­гии которых заключены в интервале от e до e+de,

,

где f (e)—функция распределения по энергиям.

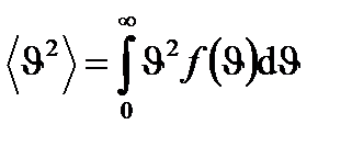
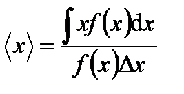
· Среднее значение * физической величины х в общем случае

,

а в том случае, если функция распределения нормирована на еди­ницу,

< x>;=ò xf (x)d x

где f(x) — функция распределения, интегрирование ведется по всей совокупности изменений величины х.

Например, среднее значение скорости молекулы (т. е. средняя арифметическая скорость) ; средняя квадратичная скорость <Jкв>=<J2>1/2, где ; средняя кинетическая энергия поступательного движения молекулы .

* Интегралы для вычисления средних значений приведены в табл. 2.

· Среднее число соударений, испытываемых одной молекулой газа в единицу времени,

,

где d эффективный диаметр молекулы; п — концентрация моле­кул; <J> — средняя арифметическая скорость молекул.

· Средняя длина свободного пробега молекул газа

.

· Импульс (количество движения), переносимый молекулами из одного слоя газа в другой через элемент поверхности,

,

где h— динамическая вязкость газа; —градиент (поперечный) скорости течения его слоев; DS — площадь элемента поверхности; d t — время переноса.

· Динамическая вязкость

h= r<J>< l >

где r — плотность газа (жидкости); <J>; — средняя скорость хаоти­ческого движения его молекул; < l > — их средняя длина свободного пробега.

· Закон Ньютона

где F сила внутреннего трения между движущимися слоями газа.

· Закон Фурье

DQ= -l SDt,

где DQ — теплота, прошедшая посредством теплопроводности через сечение площадью S за время Dt; l теплопроводность; - градиент температуры.

· Теплопроводность.(коэффициент теплопроводности) газа

l= cvr<J>< l > или l= <J>< l >,

где cv удельная теплоемкость газа при постоянном объеме; r — плотность газа; <J> — средняя арифметическая скорость его молеку­лы; < l > — средняя длина свободного пробега молекул.

· Закон Фика

Dm= -D m1SDt,

где Dm — масса газа, перенесенная в результате диффузии через поверхность площадью S за время Dt; D диффузия (коэффициент Эффузии); градиент концентрации молекул; m1 масса одной молекулы.

· Диффузия (коэффициент диффузии)

D= <J>< l >







Дата добавления: 2015-08-12; просмотров: 542. Нарушение авторских прав; Мы поможем в написании вашей работы!




Аальтернативная стоимость. Кривая производственных возможностей В экономике Буридании есть 100 ед. труда с производительностью 4 м ткани или 2 кг мяса...


Вычисление основной дактилоскопической формулы Вычислением основной дактоформулы обычно занимается следователь. Для этого все десять пальцев разбиваются на пять пар...


Расчетные и графические задания Равновесный объем - это объем, определяемый равенством спроса и предложения...


Кардиналистский и ординалистский подходы Кардиналистский (количественный подход) к анализу полезности основан на представлении о возможности измерения различных благ в условных единицах полезности...

Типы конфликтных личностей (Дж. Скотт) Дж. Г. Скотт опирается на типологию Р. М. Брансом, но дополняет её. Они убеждены в своей абсолютной правоте и хотят, чтобы...

Гносеологический оптимизм, скептицизм, агностицизм.разновидности агностицизма Позицию Агностицизм защищает и критический реализм. Один из главных представителей этого направления...

Функциональные обязанности медсестры отделения реанимации · Медсестра отделения реанимации обязана осуществлять лечебно-профилактический и гигиенический уход за пациентами...

Этапы и алгоритм решения педагогической задачи Технология решения педагогической задачи, так же как и любая другая педагогическая технология должна соответствовать критериям концептуальности, системности, эффективности и воспроизводимости...

Понятие и структура педагогической техники Педагогическая техника представляет собой важнейший инструмент педагогической технологии, поскольку обеспечивает учителю и воспитателю возможность добиться гармонии между содержанием профессиональной деятельности и ее внешним проявлением...

Репродуктивное здоровье, как составляющая часть здоровья человека и общества   Репродуктивное здоровье – это состояние полного физического, умственного и социального благополучия при отсутствии заболеваний репродуктивной системы на всех этапах жизни человека...

Studopedia.info - Студопедия - 2014-2025 год . (0.012 сек.) русская версия | украинская версия