Студопедия Главная Случайная страница Обратная связь

Разделы: Автомобили Астрономия Биология География Дом и сад Другие языки Другое Информатика История Культура Литература Логика Математика Медицина Металлургия Механика Образование Охрана труда Педагогика Политика Право Психология Религия Риторика Социология Спорт Строительство Технология Туризм Физика Философия Финансы Химия Черчение Экология Экономика Электроника

Теорема Бернулли. Показывается вероятность того, что частота появления случайного события в серии Nиспытаний отклоняется от вероятности Р того события





Показывается вероятность того, что частота появления случайного события в серии Nиспытаний отклоняется от вероятности Р того события, на определённую величину большую, чем е, стремится к 0.

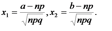
Интегральная теорема Муавра – Лапласа. Если вероятность р наступления события А в каждом испытании постоянна и отлична от нуля и единицы, а число испытаний достаточно велико, то вероятность того, что в n независимых испытаниях собы­тие А состоится число раз, заключенное в границах от а до b включительно (а <b), приближенно равна:

,

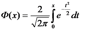
где функция Ф (х) определяется равенством

,

Функция Ф(х) нечетная, т. е. Ф (—х) = — Ф(х).

Функция Ф(х) монотонно возрастающая.

Предел функции Ф(х) при равен единице.







Дата добавления: 2015-08-12; просмотров: 469. Нарушение авторских прав; Мы поможем в написании вашей работы!




Функция спроса населения на данный товар Функция спроса населения на данный товар: Qd=7-Р. Функция предложения: Qs= -5+2Р,где...


Аальтернативная стоимость. Кривая производственных возможностей В экономике Буридании есть 100 ед. труда с производительностью 4 м ткани или 2 кг мяса...


Вычисление основной дактилоскопической формулы Вычислением основной дактоформулы обычно занимается следователь. Для этого все десять пальцев разбиваются на пять пар...


Расчетные и графические задания Равновесный объем - это объем, определяемый равенством спроса и предложения...

Законы Генри, Дальтона, Сеченова. Применение этих законов при лечении кессонной болезни, лечении в барокамере и исследовании электролитного состава крови Закон Генри: Количество газа, растворенного при данной температуре в определенном объеме жидкости, при равновесии прямо пропорциональны давлению газа...

Ганглиоблокаторы. Классификация. Механизм действия. Фармакодинамика. Применение.Побочные эфффекты Никотинчувствительные холинорецепторы (н-холинорецепторы) в основном локализованы на постсинаптических мембранах в синапсах скелетной мускулатуры...

Шов первичный, первично отсроченный, вторичный (показания) В зависимости от времени и условий наложения выделяют швы: 1) первичные...

Кишечный шов (Ламбера, Альберта, Шмидена, Матешука) Кишечный шов– это способ соединения кишечной стенки. В основе кишечного шва лежит принцип футлярного строения кишечной стенки...

Принципы резекции желудка по типу Бильрот 1, Бильрот 2; операция Гофмейстера-Финстерера. Гастрэктомия Резекция желудка – удаление части желудка: а) дистальная – удаляют 2/3 желудка б) проксимальная – удаляют 95% желудка. Показания...

Ваготомия. Дренирующие операции Ваготомия – денервация зон желудка, секретирующих соляную кислоту, путем пересечения блуждающих нервов или их ветвей...

Studopedia.info - Студопедия - 2014-2025 год . (0.009 сек.) русская версия | украинская версия